本网讯(物电学院 张曼)近日,物理学国际顶级期刊《物理评论快报》(Physical Review Letters)发表了我校物理与电子信息学院吕建平教授课题组与中国科学技术大学和福建闽江学院邓友金教授合作完成的研究工作。论文标题为:Extraordinary-Log Surface Phase Transition in the Three-Dimensional XY Model,我校2019级硕士研究生胡明辉是论文的第一作者,邓友金教授和吕建平教授为共同通讯作者,我校是论文的第一署名单位。
相变普适类在自然界和实验体系中广泛存在,并被视为现代临界理论的支柱。在常规的物理图像中,热力学标度和有限尺寸标度均呈现幂律依赖行为。在若干情形下,对数标度被视为幂律行为的修正,统计物理学家Peter Grassberger教授曾用“notoriously difficult”来描述处理此类问题的难度。在前期工作中,该团队开展合作研究,给出上临界维度O(n)模型关联函数和自由能的精确对数有限尺寸标度【National Science Review 8, nwaa212 (2021)】。
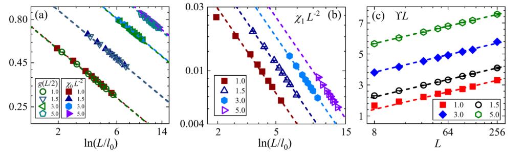
近期,该团队针对O(2)模型的非凡表面相变开展深入研究,致力于探索该相变的新奇对数标度行为。该团队借助于大规模蒙特卡洛模拟,系统验证了强表面耦合O(2)矢量模型中对数临界指数的普适性和标度关系,由此证实对数普适类的存在性。在此基础上,该团队提出基于两距离标度的物理图像:关联函数体现两种对数标度行为的共存,即依赖于距离的行为和依赖于系统尺寸的行为,分别主导短程和长程区间,两种标度由不同的临界指数刻画【Physical Review Letters 127, 120603 (2021)】。
通过上述研究工作,该团队凝练出精确物理图像和大规模数值模拟(模型空间和参数空间)相结合的技术路线,从而为新奇相变现象的研究和后续工作的开展提供参考。相关研究工作受到国家自然科学基金委、国家重点研发计划、上海市科委和安徽省教育厅的资助。

图1 论文信息

图2 两点关联、磁涨落和螺旋模量的对数标度[PRL 127, 120603 (2021)]

图3 临界指数的普适性和标度关系[PRL 127, 120603 (2021)]
论文链接:https://link.aps.org/doi/10.1103/PhysRevLett.127.120603
https://academic.oup.com/nsr/article/8/3/nwaa212/5899772